1、設計標準
- NFPA2001《潔凈氣體滅火劑滅火系統》
- 《七氟丙烷(HFC-227ea)潔凈氣體滅火系統設計規范》
- ISO/CD14520-15(1997年第3版)《氣體滅火系統—物理性能和系統設計》
2、設計條件
- 保護區的尺寸;
- 保護對象;
- 保護區的-低、-高溫度;
- 保護區的海拔高度;
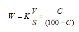
3、滅火劑設計用量計算
- 按公式計算

式中 W:滅火劑設計用量(kg)
V:保護區凈容積(m
3)
S:七氟丙烷蒸汽比容(m
3/kg)
S=0.1269+0.000513t,式中t=保護區的-低溫度(℃)
C:設計濃度(%)
K:海拔高度修正系數
設計用量也可以根據表格查取,并用海拔高度修正系數修正。
4、滅火劑儲存容器內的剩余量
每只滅火劑儲存容器內的噴放剩余量按2.0kg計算。
5、滅火劑設置用量
滅火劑設置用量=滅火劑設計用量+瓶組數×2.0
七氟丙烷保護區單位體積的滅火劑用量表(kg/m3)

七氟丙烷滅火系統海拔高度修正系數: